2、工作条件
工作温度:-20-+40℃;
湿度:<90%;
介质条件:空气(含尘量不超过100mg/m³);
工作电源:三相、380V/50Hz。
3、应用
风机可广泛应用于厂矿企业、宾馆、饭店、博物馆、体育馆等通风换气场所,最适用于管道加压、送风和排风及高层建筑、一般建筑的通风换气之用。
4、配置
4.1.标准配置
●叶轮;
●机壳(外筒、导叶、内筒、电机支架);
●电机;
●底脚。
4.2.备选件及附件(订货时注明是否购买)
※减振设备;
※控制箱;
※网罩;
※对接法兰。
5、加工工艺
5.1.风机叶轮为钢制,轮载液压拉伸成型,叶片冲压后液压成形,叶片与轮载焊接装配成形。叶轮经静、动平衡校正,平衡精度不大于G5.6级。
5.2.外筒法兰为采用整体翻边旋压而成。










1、概述
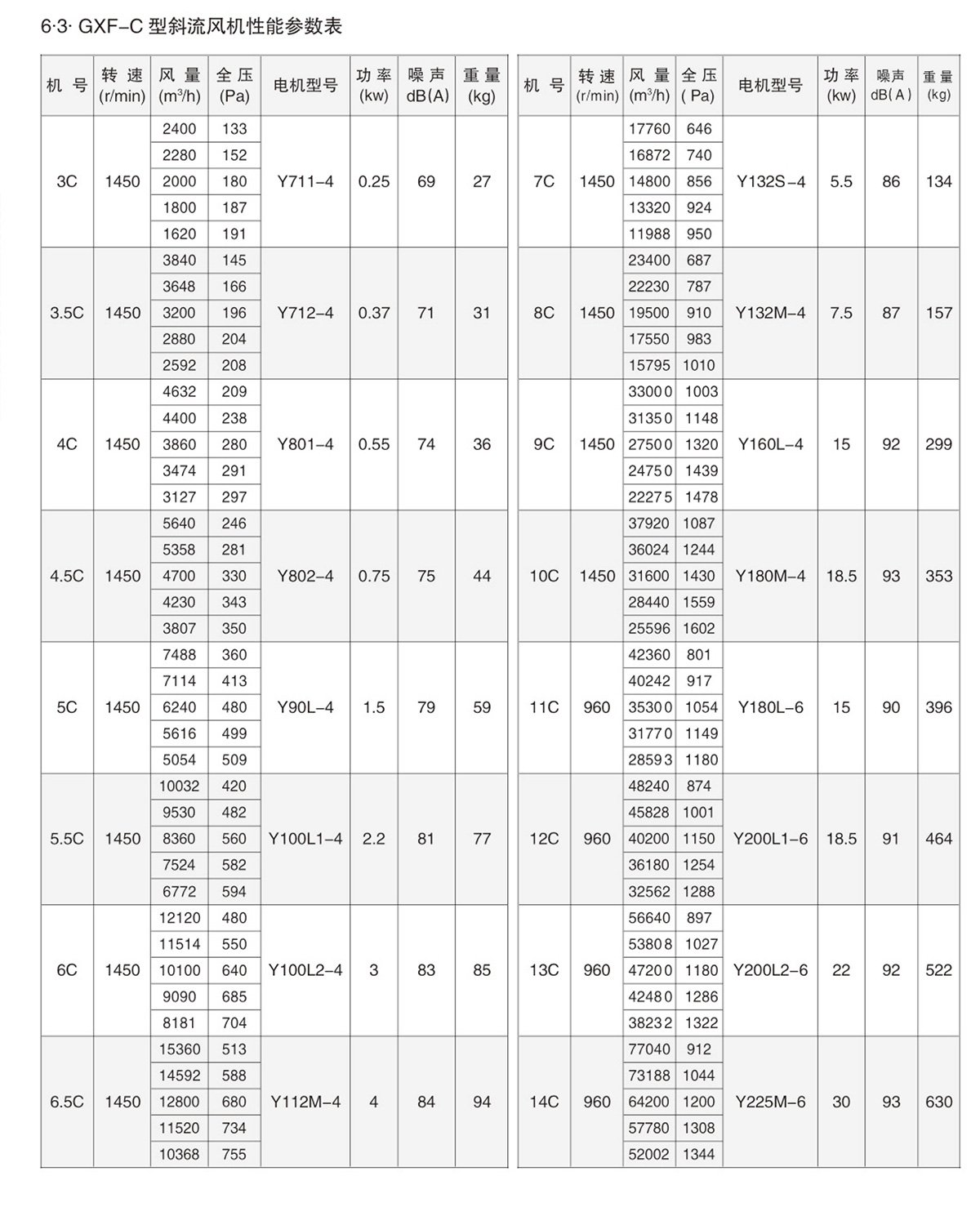
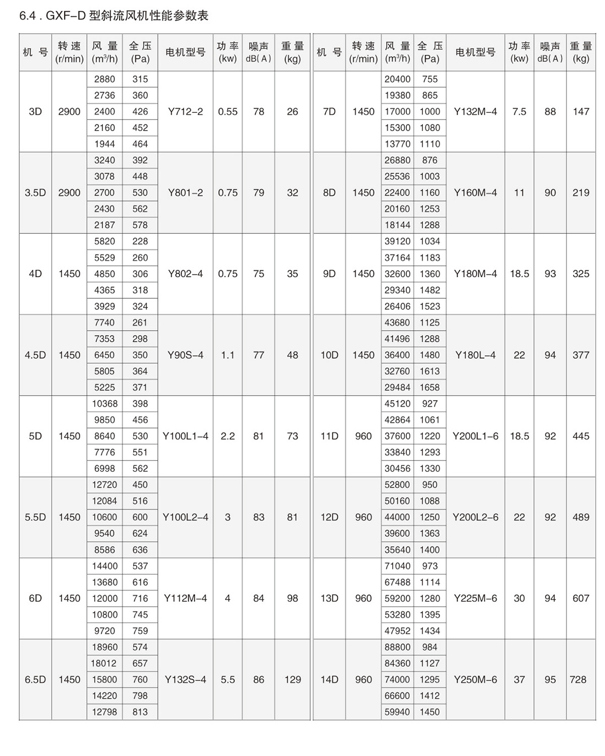
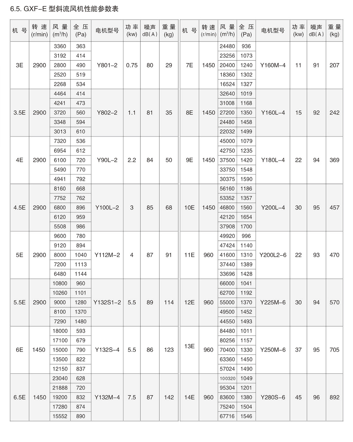
1.1.GXF型斜流风机,其叶轮轮毅为锥形,轮毅进口直径相对较小,使子午面上的气流加速,避免了叶轮轮毅与后导叶轮敷有较大凸台所造成的气流分离,从而使风机可获得高效率和低噪声。由于风机流道中的气流轴向速度增大,促使静压梯度减小,避免了气流脱离,得到了较高的压力系数。
1.2.风机按机号分为3#-14#十六种规格,系列风量范国从1500-90000m/h,全压范围从95-1500Pa。GXF型斜流风机经不断的改进和开发,现按类型分可分类A、B、C、D、E、F六种类型,参数范围广泛、选型方便,以适应不同工况的要求。风机可做成双速电机,电机采用双速电机,实现两档调速,可满足用户对不同工况点性能调节的需要,也可配用变须电机和变频控制器,实现无级调速,建议调节频率锁定在25Hz-50Hz。
1.3为适应防爆环境需要,风机可做成防爆风机,防爆等级为EXdllBT4。
1.4为适应不同场所噪声的要求,风机均可配不同长度的消声器,也可将风机做成包覆式。