3、风机应用
风机可广泛应用于宾馆、饭店、礼堂、影剧:、地下室、工矿企业、办公楼等场所通风排烟,特别是需要低噪声、大风量通风排烟。
4、风机配置
4.1标准配置
●叶轮;
●皮带轮、皮带;
●机壳(机壳、集流器、支架);
●皮带罩(仅A式);
●电机;
●消声型箱体;
●轴承(带壳);
●电机调节道轨;
●主轴;
●进出口法兰。
4.2备选件及附件(订货时注明是否购买)
※减振设备;
※消声器;
※过滤器;
※控制箱;
※对接法兰;
※电机防雨罩(仅A式)。
5、加工工艺
5.1.风机叶轮、机壳为优质镀锌板,全部模具化生产,采用铆接、咬接等手段,表面清洁平整,不存在焊接变形现象。
5.2.风机消声型箱体采用框架,箱板拼装设计、框架采用先进的金属冷弯机组一次拉伸而成(也可根据用户需要采用铝合金型材),箱板为彩涂板,表面清洁美观、耐腐蚀性强,内层为镀锌消声微穿孔板,夹层超细玻璃棉,可进一步降低噪声。产品可进行拆装,现场安装。
2、工作条件/风机型号说明
工作温度:-20-+40℃(可连续运转);
耐高温:100℃(可连续运转20小时);
300℃(可连续运转60分钟);
湿度:小于90%;
介质条件:空气;
工作电源:三相、380V/50Hz。












7、风口位置编号
7.1.HTFC-A型柜式离心风机风口位置编号

注:15寸以下A式电机上置,15寸以上A式电机侧置,如15寸以上仍需电机上置,则需订货时注明.
7.2.HTFC-B型柜式离心风机风口位置编号

备注:本公司根据用户不同要求,可制作以上风口位置以外的型式。
8、HTFC-A系列柜式离心风机外形尺寸表

HTFC-A系列柜式离心风机箱体及基础尺寸
型号 | 箱体尺寸 | 出风口 | 0度进风口 | 90度进风口 | 基础尺寸 | |||||||
A型长L | B型长L | 宽W | 高H | 宽a | 高b | 宽c | 高d | 长 | 宽 | 型W1 | 孔径ΦD | |
HTFC-9 | 640 | 760 | 640 | 510 | 280 | 280 | 450 | 320 | 450 | 450 | 740 | 12.5 |
HTFC-10 | 700 | 800 | 700 | 550 | 320 | 320 | 510 | 360 | 510 | 510 | 800 | 12.5 |
HTFC-12 | 760 | 900 | 760 | 630 | 380 | 380 | 570 | 440 | 570 | 570 | 860 | 12.5 |
HTFC-15 | 850 | 1000 | 880 | 760 | 460 | 460 | 690 | 570 | 660 | 690 | 980 | 12.5 |
HTFC-18 | 950 | 1150 | 1000 | 890 | 530 | 530 | 810 | 700 | 760 | 810 | 1100 | 14.5 |
HTFC-20 | 1050 | 1230 | 1100 | 990 | 600 | 600 | 910 | 800 | 860 | 910 | 1200 | 14.5 |
HTFC-22 | 1150 | 1310 | 1220 | 1040 | 640 | 640 | 1030 | 850 | 960 | 1030 | 1320 | 14.5 |
HTFC-25 | 1260 | 1460 | 1340 | 1220 | 710 | 710 | 1150 | 1030 | 1070 | 1150 | 1440 | 16.5 |
HTFC-28 | 1410 | 1630 | 1470 | 1270 | 770 | 770 | 1280 | 1080 | 1220 | 1280 | 1570 | 16.5 |
HTFC-30 | 1480 | 1700 | 1560 | 1400 | 840 | 840 | 1350 | 1190 | 1270 | 1350 | 1660 | 16.5 |
HTFC-33 | 1580 | 1880 | 1630 | 1520 | 890 | 890 | 1420 | 1310 | 1370 | 1420 | 1730 | 16.5 |
HTFC-36 | 1700 | 2050 | 1800 | 1600 | 1030 | 1000 | 1590 | 1390 | 1490 | 1590 | 1900 | 16.5 |
9、HTFC(DT)-A系列电机支架尺寸
电机型号 | Y71 | Y80 | Y90S | Y90L | Y100L | Y112M | Y132S | Y132M | Y160M |
e | 300 | 320 | 340 | 370 | 400 | 410 | 470 | 510 | 610 |
电机型号 | Y160L | Y180M | Y180L | Y200L | V225S | Y225M | Y250M | Y280S | Y280M |
e | 640 | 650 | 690 | 740 | 810 | 810 | 860 | 940 | 990 |
10、风机使用、维护保养
1.风机安装使用前的检查
A.了解风机的规格、形式、进出风口位置及相应的安装尺寸,配用电机的电力要求,
B.安装前应认真检查风叶及机壳有否因运输而损坏变形,检查螺检是否坚固,否则应待修复后方可安装使用。
C.排烟口与排烟风机应设联锁装置,当任何一个排烟口开启时,排烟风机即能自动启动。
D.风机启动前,首先要检查风机及管通内有无妨碍转动的物品;检查电气线路是否完好。
E.安装后,定期检查风机各部件,检查轴承润滑是否充足,以保证风机能随时启动,正常运作。
F.叶轮旋转方向必须与风简的箭头标记一致。
2.风机常见故障分析
A.振动,产生的原因很多,可从下述几个方面进行检查:
a.因贮运变形使叶轮旋转是磁擦外壳。此时会发出异常的声音和剧烈的振动,原因是贮运过程中风机壳或叶轮部件发生变彩。
b.风机底脚螺检未拧紧。
c.因叶轮受压变形、联接件松动,轴承损坏使叶轮动平衡拨坏。
B.电机发热,则可能有下列原因之一造成:
a.电机轴承模坏。
b.电机轴与风机轮壳安装的形位公差不符合技术要求。
c.电源电压过低。
3.维护保养
风机最好至少一年进行一次定期检修,检查轴承,清除风机内部的灰尘、污垢。
1、概述
1.1.HTFC型柜式离心风机是一种高效率、低噪声箱式离心风机。产品由低噪声前倾多翼离心风机、电机、轴承、传动件、消声型箱体等组成。根据安装位置的不同,提供12种不同角度的进出风口位置,以满足用户不同的安装环境需要。根据消防与通风的要求不同分A型和B型两种类型,A型电机装在箱体外,用于消防排烟,并经国家消防装备监督质量检验中心按GA211-1999《消防排烟风机耐高温试验方法》进行耐高温试验,能在300℃高温条件下连续运行60分钟以上;B型电机装在箱体内,用于通风换气。
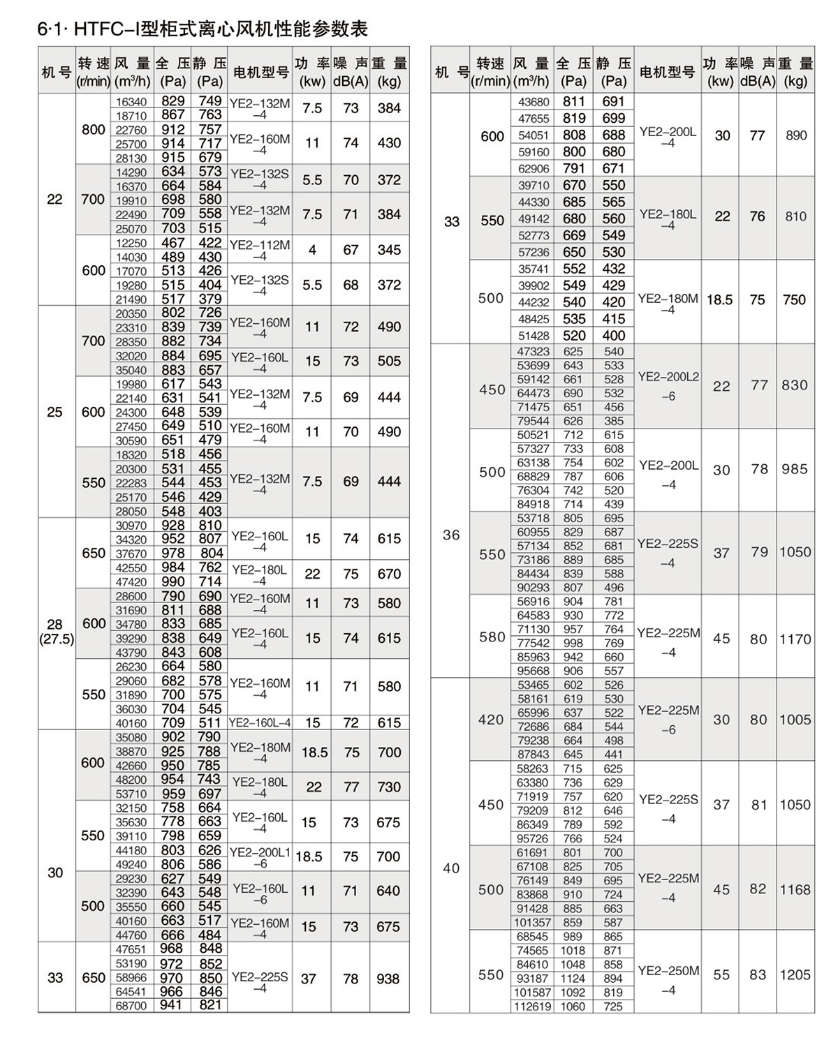
1.2.风机按机号分为9-40十三种规格系列风量范围从1650~112600m³/h,全压范围从180~1200Pa。HTFC型柜式离心风机经不断的改进和开发,现可分为Ⅰ、Ⅱ、Ⅲ、Ⅳ
四种类型,其中Ⅰ、Ⅲ型为单速型,Ⅱ、Ⅳ型为双速,配用双速电机,实现两档调速,可满足用户对不同工况点性能调节的需要。风机也可配用变频电机和变频控制器,实现无级调速,建议调节频率锁定在25H2~50z。
1.3.为适应防爆环境需要,风机可做成防爆风机,防爆等级为EXdllBT4,适用于易燃、易爆气体的场所。
1.4.为适应不同场所噪声的要求,风机均可配不同长度的消声器,也可将风机消声型箱体加厚,以降低风机噪声。
1.5.风机可加配初效、中效或高效过滤器,以提高空气的清洁度,配置过滤器时应考虑实际压力损耗,并需适当增加风机箱体长度。