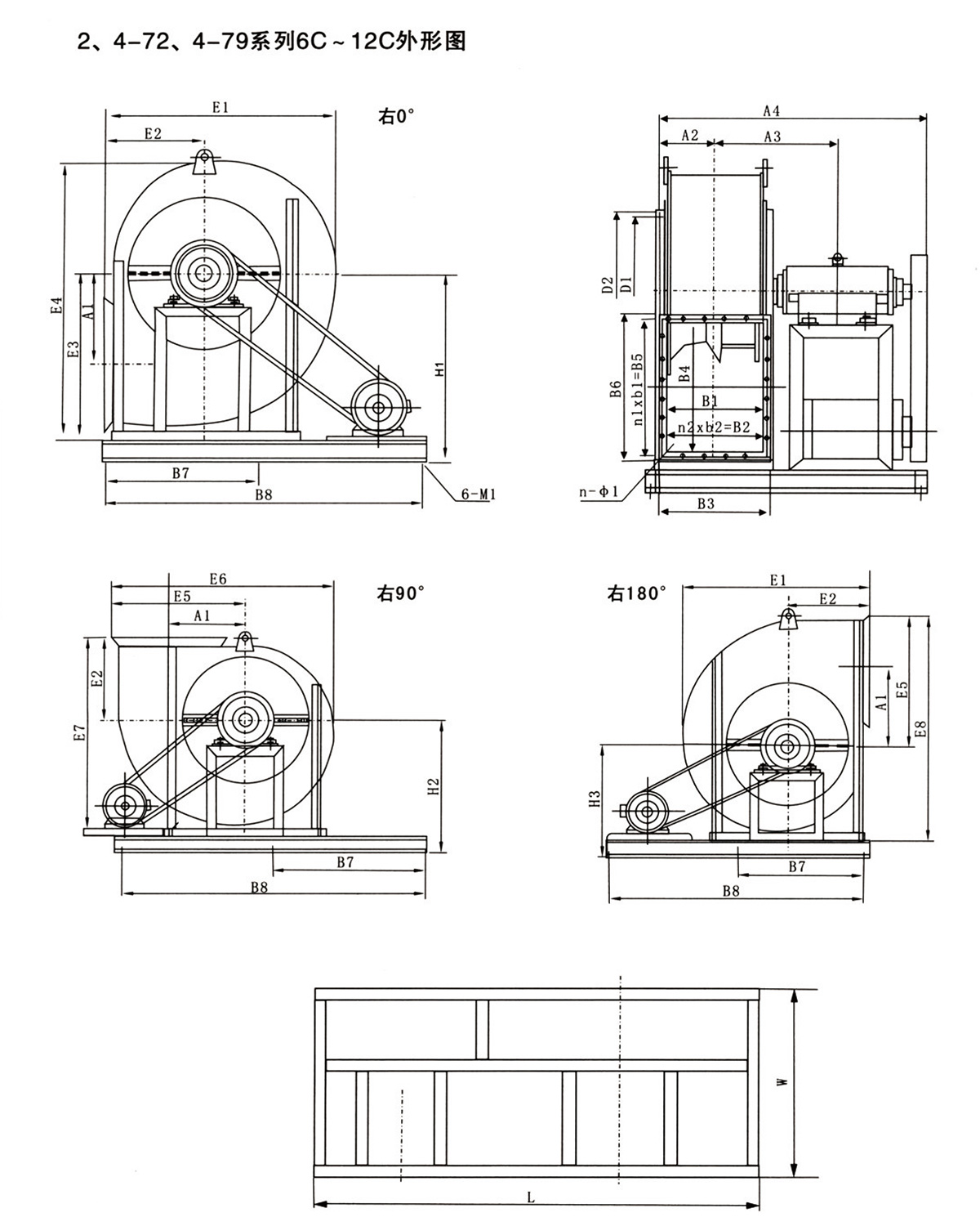
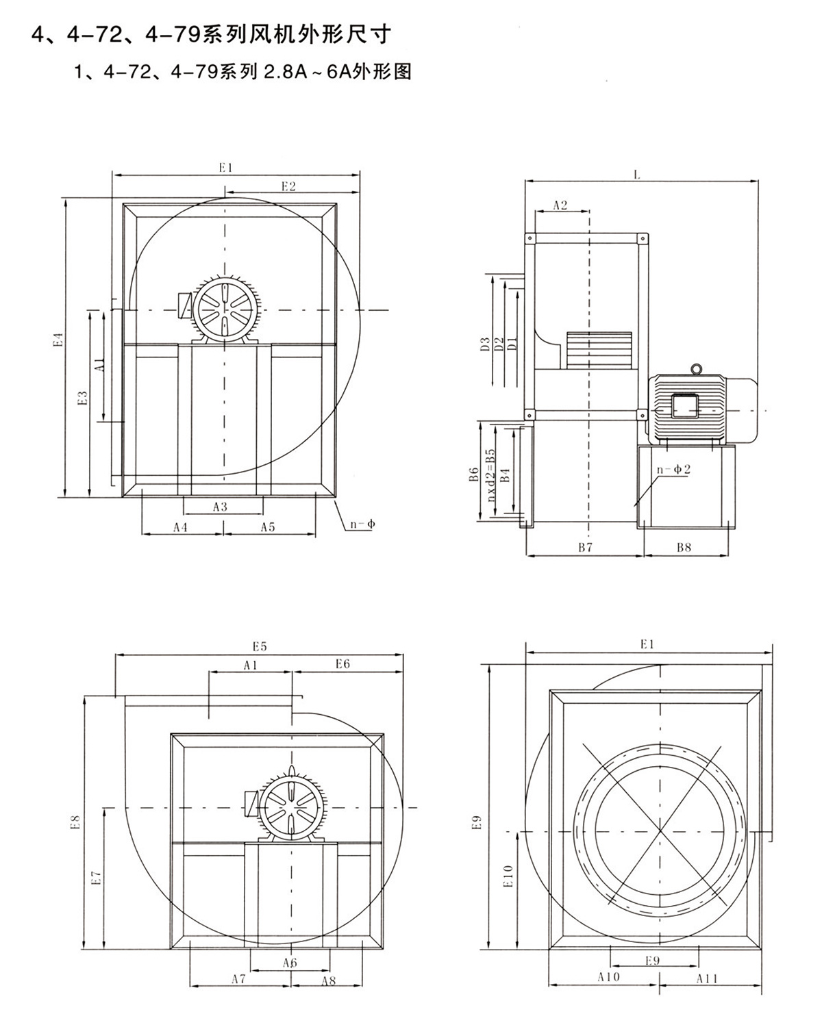
2、风机型式及传动方式
风机分左旋和右旋两种型式,从电机(皮带轮)侧正视,叶轮按顺时针方向旋转为右旋,逆时针旋转为左旋。A式为电机直联传动,B、C、E式为皮带传动,D式为联轴器传动。











1、特性及应用
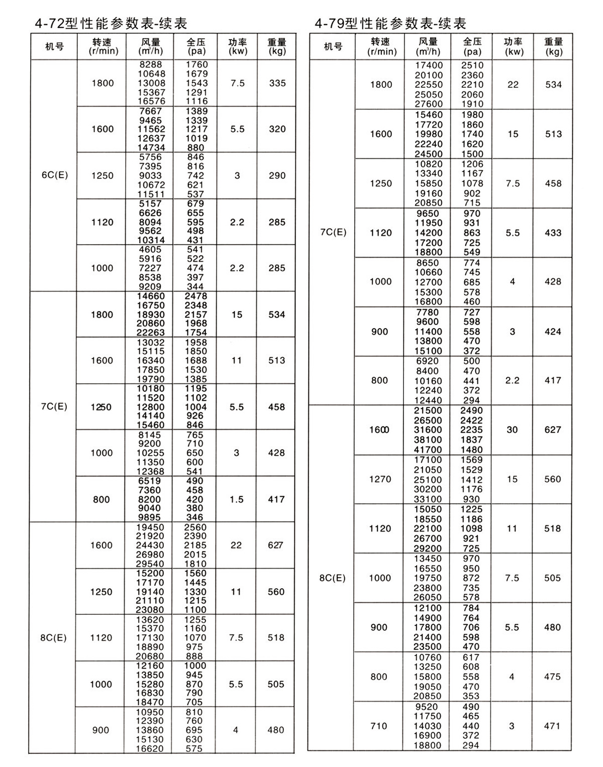
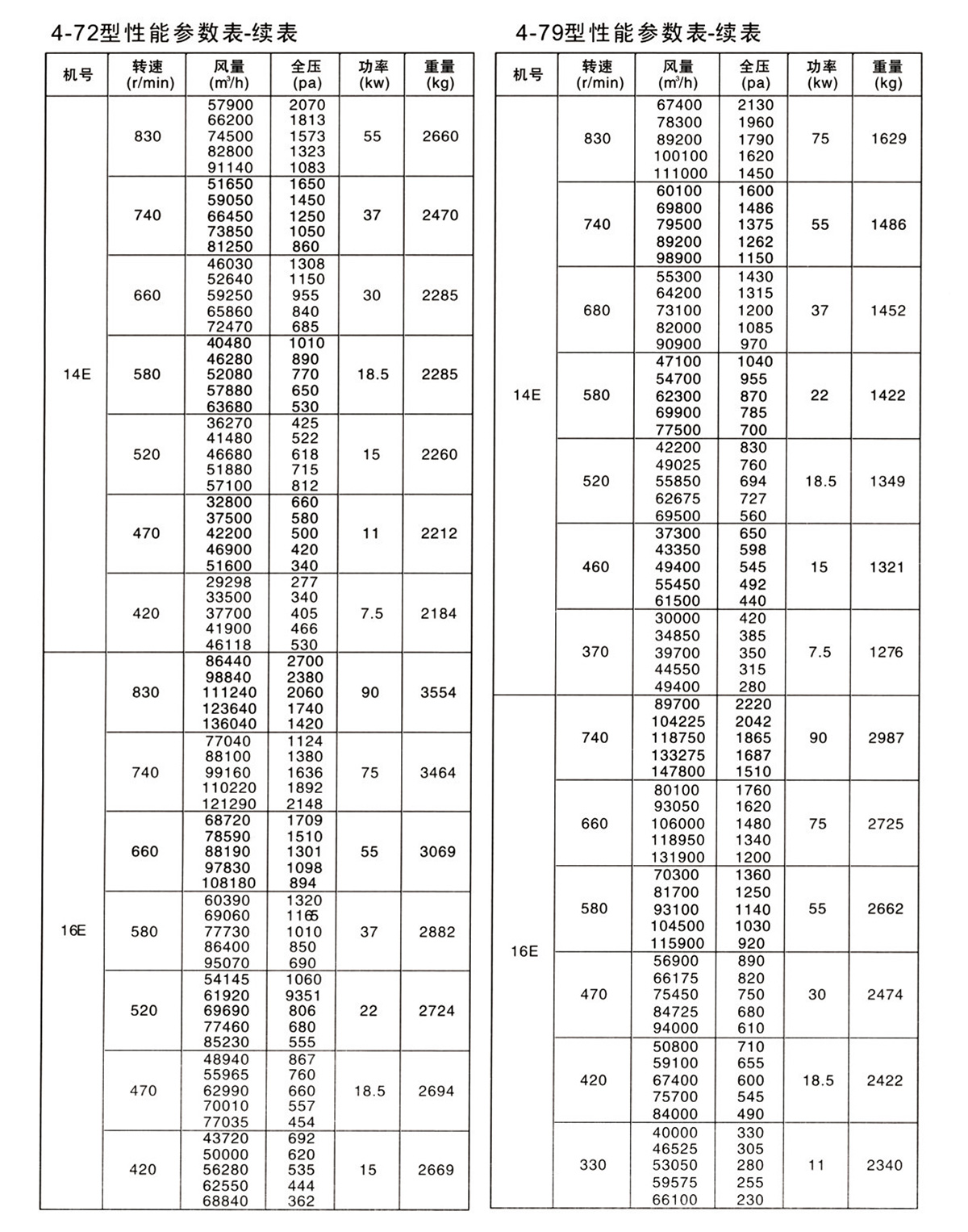
1、用途:4-72型离心通风机可作为一般工厂及大型建筑物的室内通风换气用。输送空气和其他不自燃的、对人体无害的、对钢材无腐蚀性的气体。气体内不含粘性物质,所含尘土及硬质颗粒物不大于150mg/m³,气体温度不得超过80℃。
F4-72为防腐型离心风机,用于输送有腐蚀性的气体,可用玻璃钢或钢板滚塑、不锈钢等材料制作。
B4-72为防爆型离心风机,用于输送易燃易爆的气体,配用防爆型电机、铸铝叶轮或非金属材料制成。
FB4-72为防腐防爆型离心风机,用于输送有腐蚀性且易燃易爆的气体。
2、型式:4-72型离心通风机可制成右旋和左旋两种型式,风机的传动方式为A、B、C、D四种,6#以下采用A式,7~12#采用C、D式,16#以上采用B式。
3、结构:机号6#以下的4-72型风机主要有叶轮、机壳、进风口等部分配直联电动机组成,7#以上除具有上述部分外还有传动部分。
(1)叶轮:采用后倾翼型叶片、曲线型前盘和平板后盘组成,采用碳钢制造,并经过静、动平衡校正,空气性能优良,效率高,运转平稳可靠。
(2)机壳:采用碳钢焊接制作,12#以下制成整体式,16以上制成两开式,用螺栓连接。
(3)进风口:进风口制成收敛式流线型整体结构,装于风机的侧面,与轴向平行的截面为曲线形状,能使气体顺利进入叶轮,且损失较小。
(4)传动组:传动部分由主轴、轴承箱、滚动轴承、带轮或联轴器组成。