扫一扫
加微信
2.工作条件
工作温度:-20-+60℃(可连续运转);
耐高温:200℃(可连续60分钟);
湿度:小于90%;
介质条件:空气(含尘量不超过100mg/m³);
工作电源:三相、380V/50z。
3.应用
风机可广泛应用于民用建筑、厨房、烘箱等高温介质的通风排风。
4.配置
4.1.标准配置
●叶轮:●电机;●机壳;●电机支架。
4.2.备选件及附件(订货时注明是否购买)
※减振设备;※控制箱;※消声器。
5.加工工艺
风机叶轮、机壳为优质钢板,全部模具生产,焊接成形。叶轮经静、动平衡校平衡精度不大于G5.6级。


1.概述
1.1.CF型厨房管道风机,叶轮为多翼前倾式离心叶轮,单面吸风,风机设计成水平进出,方形进出风口可直接与风管联接。风机电机为耐高温电机,外置于风机机壳,使高温管道的油烟与电机完全隔离,输送介质温度在200C条件下连续运行60分钟以上,输送介质温度80℃时可长期连续运行不损朝。
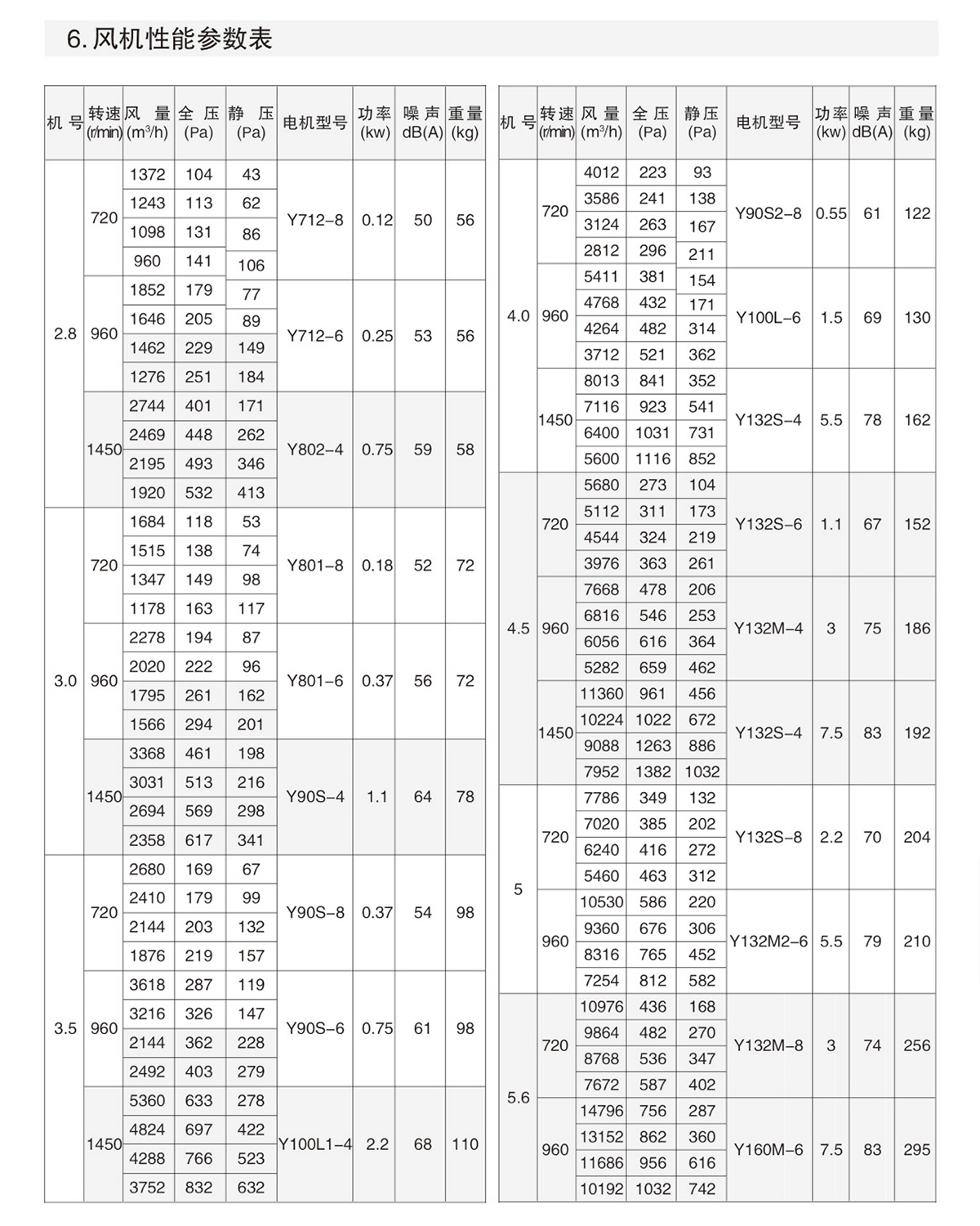
1.2风机按机号分为2.8#~5.6#七种规格,系列风量范围从960-15000m³/h,全压范围从40~1000Pa。