2、工作条件
工作温度:-20~+40℃;
湿度:<90%;
介质条件:空气(含尘量不超过100mg/m);
工作电源:三相、380V/50Hz。
3、应用
风机可广泛应用于民用建筑、工矿企业、宾馆、饭店、博物馆、体育馆等通风换气场所,最适用于管道加压、送风和排风及高层建筑、一般建筑的通风换气之用。
4、配置
4.1.标准配置
●叶轮;●电机;●机壳(风筒、导叶、内筒、电机支架);●底脚。
4.2.备选件及附件(订货时注明是否购买)
※减振设备;※控制箱;※网罩;※对接法兰。
5、加工工艺
5.1.风机叶轮为钢制,轮毅液压拉伸成型,叶片冲压后液压成形,叶片与轮毂焊接装配成形。叶轮经静、动平衡校正,平衡精度不大于G5.6级。
5.2.外筒法兰为采用整体翻边旋压而成。







1、概述
1.1.SWF型混流风机采用子午面加速方法设计,其叶轮轮毂为锥形,风机外壳经特别设计有效地降低外流噪声,在单位风量、单位风压的工况下,比A声级可降低2-3dB(A),同时在较低转速的情况下,可获得较高风机压力,可代替低压离心风机。
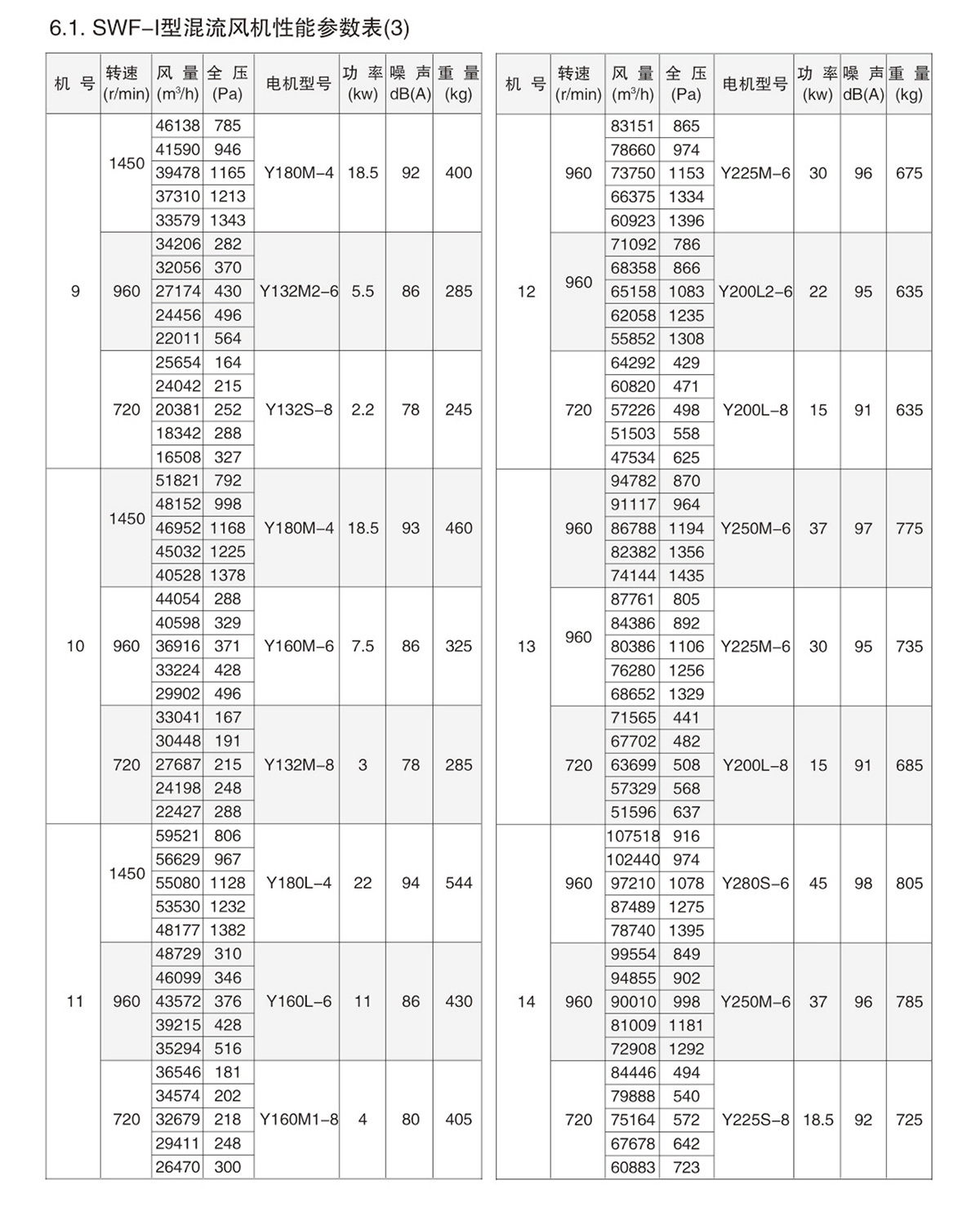
1.2.风机按机号分为2.5#~14#十八种规格,系列风量范围从500-110000m2m,全压范围从50-1400Pa。风机根据调速方式可分为单速(|型),双速(|型)。双速风机可满足用户对不同工况点性能调节的需要,配用双速电机,实现两档调速,风机也可配用变频电机和变频控制器,实现无级调速,建议调节频率锁定在25Hz-50Hz。
1.3.为适应防爆环境需要,风机可做成防爆风机,防爆等级为EXdllBT4。
1.4.为适应不同场所噪声的要求,风机均
可配不同长度消声器,也可将风机做成包覆式。