扫一扫
加微信
3、加工工艺
3.1.风机叶轮、机壳为优质钢板,全部模具化生产,采用焊接成形,叶轮经动、静平衡校正、其平衡精度为不大于5.6级。
3.2.风机消声型箱体采用框架、箱板拼装设计,框架采用先进的金属冷弯机组一次拉伸而成(也可根据用户需要采用铝合金型材),箱板为彩涂板,表面清洁美观、耐腐蚀性强、内层为镀锌消声微穿孔板,夹层超细玻璃棉,可进一步降低噪声。产品可进行拆装,现场安装。





1、特性及应用
ISQ系列无蜗壳离心风机箱是结合国际同类产品先进技术自行开发的一种新型节能产品,它由后弯倾斜式离心叶轮、消声箱体、低噪音风机专用电机组成。
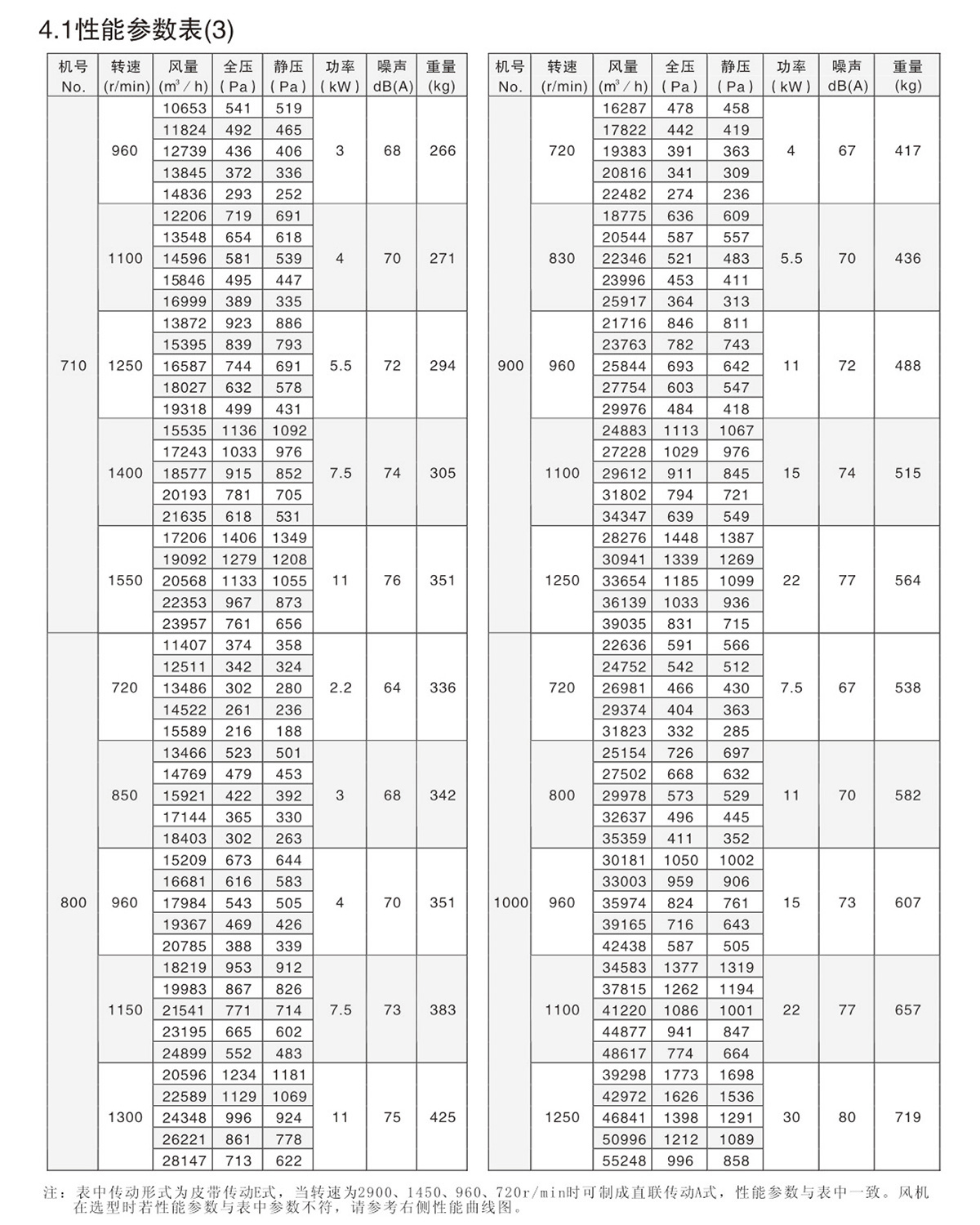
按用户不同的使用寿命;B型结构电机内置,结构紧凑,工作噪音更低。A式驱动为直联传动,传递可靠;E式驱动为皮带传动,转速可调;T式驱动配变频电机无级调速要实现不同的风量风压。常规设计有4种出风方向供用户选择,满足了不同的安装需求。同时也可根据输送气体介质的不同来调整驱动形式及风机部件材质。
具有效率高、噪声低、静压高、结构简单、外形美观、安装维修方便等特点,是空气处理机组,尤其是净化空调的理想配套产品,也可应用于一般的通风、净化、除尘系统。